logowanie
|
rejestracja
spis treści
·
co nowego
·
klub
·
samochody
·
biblioteka
·
garaż
·
forum
·
ogłoszenia
·
ftp
·
email
capri.pl
»
biblioteka
»
mikrofilmy
»
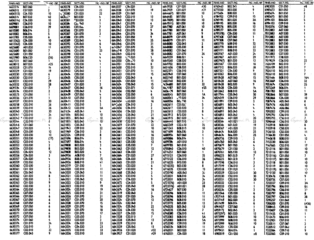
Katalog części: silniki V6 (TV/Köln/Cologne)
» indeks numerów części i uzupełnienia
Katalog części: silniki V6 (TV/Köln/Cologne) - indeks numerów części i uzupełnienia
Komentarze
[
dodaj nowy komentarz
]